C Question Paper 2017

Object Oriented Programming With C 2016 2017 B Sc It Information Technology Idol Correspondence Semester 3 Sybsc I T Question Paper With Pdf Download Shaalaa Com

Object Oriented Programming With C 2016 2017 B Sc It Information Technology Idol Correspondence Semester 3 Sybsc I T Question Paper With Pdf Download Shaalaa Com

Introduction To C Programming 2017 2018 B Sc It Information Technology Semester 1 Fybsc I T Question Paper With Pdf Download Shaalaa Com

Introduction To C Programming 2017 2018 B Sc It Information Technology Semester 1 Fybsc I T Question Paper With Pdf Download Shaalaa Com

Object Oriented Programming Using C Question Paper Youtube

Object Oriented Programming Using C Question Paper Youtube

Object Oriented Programming C 2016 2017 Master Of Computer Applications Idol Correspondence Semester 3 Question Paper With Pdf Download Shaalaa Com

Object Oriented Programming C 2016 2017 Master Of Computer Applications Idol Correspondence Semester 3 Question Paper With Pdf Download Shaalaa Com

Bca 3rd Sem C Question Paper 2017 From Punjabi University Patiala 124 Study Free Education Portal Indian Free E Learning Platform

Bca 3rd Sem C Question Paper 2017 From Punjabi University Patiala 124 Study Free Education Portal Indian Free E Learning Platform

Introduction To C Programming 2016 2017 B Sc It Information Technology Idol Correspondence Semester 1 Fybsc I T Question Paper With Pdf Download Shaalaa Com

Introduction To C Programming 2016 2017 B Sc It Information Technology Idol Correspondence Semester 1 Fybsc I T Question Paper With Pdf Download Shaalaa Com

Introduction To C Programming 2016 2017 B Sc It Information Technology Idol Correspondence Semester 1 Fybsc I T Question Paper With Pdf Download Shaalaa Com

Object Oriented Programming Using C Bangalore University B C A Computer Science 2015 Question Paper University Question Papers

Object Oriented Programming Using C Bangalore University B C A Computer Science 2015 Question Paper University Question Papers

Mgu Questions Papers Mahatam Gandhi University 2017 Mgu Bca Degree Semester 3 C 2015 Previous Year Question Paper

Mgu Questions Papers Mahatam Gandhi University 2017 Mgu Bca Degree Semester 3 C 2015 Previous Year Question Paper

Object Oriented Programming With C 2017 2018 B Sc It Information Technology Semester 3 Sybsc I T Question Paper With Pdf Download Shaalaa Com

Object Oriented Programming With C 2017 2018 B Sc It Information Technology Semester 3 Sybsc I T Question Paper With Pdf Download Shaalaa Com

Bharathiar University B C A Object Oriented Programming With C Second Year Examination December 2010 Question Paper University Question Papers

Bharathiar University B C A Object Oriented Programming With C Second Year Examination December 2010 Question Paper University Question Papers

Object Oriented Programming C 2008 2009 Master Of Computer Applications Idol Correspondence Semester 3 Set 1 Question Paper With Pdf Download Shaalaa Com

Object Oriented Programming C 2008 2009 Master Of Computer Applications Idol Correspondence Semester 3 Set 1 Question Paper With Pdf Download Shaalaa Com

Cdlu B C A Ii Year Bca 203 Object Oriented Programming Using C 2013 Question Paper University Question Papers

Cdlu B C A Ii Year Bca 203 Object Oriented Programming Using C 2013 Question Paper University Question Papers

C Exam 2017

C Exam 2017

Object Oriented Programming With C 2013 2014 B Sc It Information Technology Idol Correspondence Semester 3 Sybsc I T Question Paper With Pdf Download Shaalaa Com

Object Oriented Programming With C 2013 2014 B Sc It Information Technology Idol Correspondence Semester 3 Sybsc I T Question Paper With Pdf Download Shaalaa Com

Object Oriented Programming Using C Question Paper Computer Science Youtube

Object Oriented Programming Using C Question Paper Computer Science Youtube

Computer Science 2 C And Java Programming 2017 2018 B Sc Computer Science Idol Correspondence 2nd Year Sybsc 2 Question Paper With Pdf Download Shaalaa Com

Computer Science 2 C And Java Programming 2017 2018 B Sc Computer Science Idol Correspondence 2nd Year Sybsc 2 Question Paper With Pdf Download Shaalaa Com

Rtu Question Papers 3 Semester Me Object Oriented Programming In C Aglasem

Rtu Question Papers 3 Semester Me Object Oriented Programming In C Aglasem

Computer Science 2 C And Java Programming 2016 2017 B Sc Computer Science Idol Correspondence 2nd Year Sybsc Question Paper With Pdf Download Shaalaa Com

Computer Science 2 C And Java Programming 2016 2017 B Sc Computer Science Idol Correspondence 2nd Year Sybsc Question Paper With Pdf Download Shaalaa Com

Ec2202 Data Structures And Object Oriented Programming In C May June 2013 Question Paper University Question Papers

Ec2202 Data Structures And Object Oriented Programming In C May June 2013 Question Paper University Question Papers

Data Structures 2016 2017 B Sc Computer Science Semester 2 Fybsc Question Paper With Pdf Download Shaalaa Com

Data Structures 2016 2017 B Sc Computer Science Semester 2 Fybsc Question Paper With Pdf Download Shaalaa Com

C Object Oriented Programming Using C Question Paper Youtube

C Object Oriented Programming Using C Question Paper Youtube

Digital Electronics 2016 2017 B Sc It Information Technology Semester 1 Fybsc I T Question Paper With Pdf Download Shaalaa Com

Digital Electronics 2016 2017 B Sc It Information Technology Semester 1 Fybsc I T Question Paper With Pdf Download Shaalaa Com

Nalanda Open University Bca C And Object Oriented Programming Part Iii Paper Xix 2016 Question Paper Pdf Download Entranceindia

Nalanda Open University Bca C And Object Oriented Programming Part Iii Paper Xix 2016 Question Paper Pdf Download Entranceindia

Previous Year Computer Science Question Paper For Cbse Class 12 2017

Previous Year Computer Science Question Paper For Cbse Class 12 2017

Https Encrypted Tbn0 Gstatic Com Images Q Tbn 3aand9gcrqxl8sg5ikqadg3vvcbqe07cgxkeitsz2iml8y64e9g3zwykyw Usqp Cau

Https Encrypted Tbn0 Gstatic Com Images Q Tbn 3aand9gcrqxl8sg5ikqadg3vvcbqe07cgxkeitsz2iml8y64e9g3zwykyw Usqp Cau

Communication Skills 2017 2018 B Sc It Information Technology Semester 1 Fybsc I T Question Paper With Pdf Download Shaalaa Com

Communication Skills 2017 2018 B Sc It Information Technology Semester 1 Fybsc I T Question Paper With Pdf Download Shaalaa Com

Imperative Programming 2016 2017 B Sc It Information Technology Semester 1 Fybsc I T Question Paper With Pdf Download Shaalaa Com

Imperative Programming 2016 2017 B Sc It Information Technology Semester 1 Fybsc I T Question Paper With Pdf Download Shaalaa Com

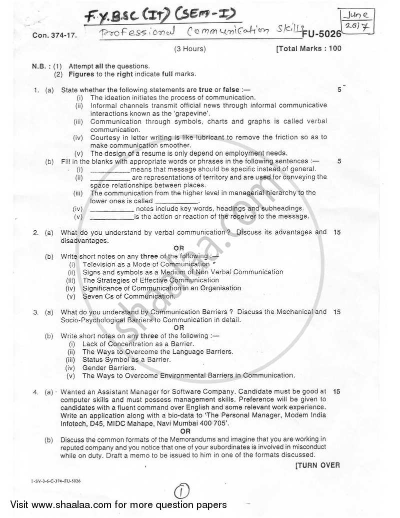
Professional Communication Skills 2016 2017 B Sc It Information Technology Idol Correspondence Semester 1 Fybsc I T Question Paper With Pdf Download Shaalaa Com

Professional Communication Skills 2016 2017 B Sc It Information Technology Idol Correspondence Semester 1 Fybsc I T Question Paper With Pdf Download Shaalaa Com

Computer Science 1 2016 2017 Hsc Science Computer Science 12th Board Exam Question Paper Solution Shaalaa Com

Computer Science 1 2016 2017 Hsc Science Computer Science 12th Board Exam Question Paper Solution Shaalaa Com

Mgu Questions Papers Mahatam Gandhi University 2017 Mgu Bca Degree Semester 2 Data Structures 2015 Previous Year Question Paper

Mgu Questions Papers Mahatam Gandhi University 2017 Mgu Bca Degree Semester 2 Data Structures 2015 Previous Year Question Paper

Source : pinterest.com